Cтруктурные подразделения образовательной организации
Образовательная организация структурных подразделений не имеет
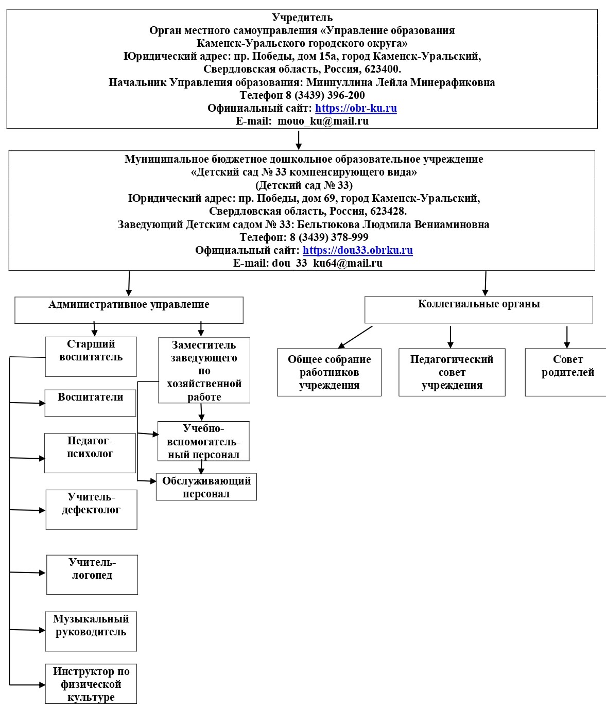
Структура управления образовательной организацией

Органы управления образовательной организации
В соответствии с Уставом в образовательной организации формируются коллегиальные органы управления: Общее собрание работников ДОУ, Педагогический совет. В целях учета мнения родителей (законных представителей) несовершеннолетних обучающихся по вопросам управления ДОУ создан Совет родителей.
Общее собрание работников учреждения
| ФИО руководителя органа управления | Бельтюкова Людмила Вениаминовна |
| Должность | Заведующий |
| Место нахождения | 623428, Свердловская область, Каменск-Уральский городской округ, проспект Победы, дом 69 |
| Официальный сайт | https://dou33.obrku.ru |
| Электронная почта | Адрес электронной почты защищен от спам-ботов. Для просмотра адреса в вашем браузере должен быть включен Javascript. |
| Дополнительная информация |
В состав Общего собрания трудового коллектива Детского сада № 33 входят все работники дошкольного образовательного учреждения. На заседание Общего собрания работников могут быть приглашены представители Учредителя, общественных организаций, органов муниципального и государственного управления. Лица, приглашенные на собрание, пользуются правом совещательного голоса, могут вносить предложения и заявления, участвовать в обсуждении вопросов, находящихся в их компетенции. Для ведения Общего собрания работников дошкольного образовательного учреждения из его состава открытым голосованием избирается председатель и секретарь сроком на один календарный год, которые выполняют свои обязанности на общественных началах. Председатель Общего собрания:
Общее собрание собирается не реже 2 раз в календарный год. Общее собрание работников Детского сада № 33 считается правомочным, если на нем присутствует не менее 50% членов трудового коллектива дошкольного образовательного учреждения. Решение Общего собрания принимается открытым голосованием. Решение Общего собрания считается принятым, если за него проголосовало не менее 51% присутствующих. Решение Общего собрания работников является обязательным для исполнения всеми членами трудового коллектива дошкольного образовательного учреждения. |
Положение об общем собрании работников учреждения
Педагогический совет учреждения
| ФИО руководителя органа управления | Бельтюкова Людмила Вениаминовна |
| Должность | Заведующий |
| Место нахождения | 623428, Свердловская область, Каменск-Уральский городской округ, проспект Победы, дом 69 |
| Официальный сайт | https://dou33.obrku.ru |
| Электронная почта | Адрес электронной почты защищен от спам-ботов. Для просмотра адреса в вашем браузере должен быть включен Javascript. |
| Дополнительная информация |
В Педагогический совет входят руководитель ДОУ, его заместители, а также педагогические работники, состоящие в трудовых отношениях с ДОУ. Педагогический совет собирается на заседания не реже одного раза в четыре месяца и по мере необходимости. Педагогический совет считается правомочным, если на его заседании присутствуют более 50% от общего числа членов Педагогического совета. Педагогический совет в целях организации своей деятельности избирает секретаря, который ведет протоколы заседаний. Председателем Педагогического совета является руководитель ДОУ. Педагогический совет принимает решения открытым голосованием и оформляет решения протоколом. Решение педагогического совета считается принятым, если за него подано большинство голосов присутствующих членов педагогического совета. Решения должны носить конкретный характер с указанием сроков проведения мероприятий и ответственных лиц за их выполнение. Организацию выполнения решений педагогического совета осуществляет заведующий ДОУ и ответственные лица, указанные в протоколе заседания педагогического совета. Результаты этой работы сообщаются членам педагогического совета на следующих его заседаниях. Заведующий ДОУ в случае несогласия с решением педагогического совета приостанавливает выполнения решения, извещает об этом Учредителя дошкольного образовательного учреждения, который в установленный срок при участии заинтересованных сторон рассматривает такое заявление, знакомится с мотивированным мнением большинства педагогического совета и выносит окончательное решение по спорному вопросу. Решения педагогического совета являются рекомендательными для коллектива дошкольного образовательного учреждения. Решения, утвержденные приказом, являются обязательными для исполнения. Педагогический совет может быть собран по инициативе его председателя, по инициативе двух третей членов педагогического совета.
Конкретную дату, время и тематику заседания Педагогического совета секретарь доводит до сведения всех педагогических работников и в необходимых случаях иных лиц, не позднее, чем за 30 дней до его заседания. Информация также может находиться в информационном уголке методического кабинета ДОУ. |
Положение о Педагогическом совете учреждения
Совет родителей
| ФИО руководителя органа управления | Самойлова Ирина Михайловна |
| Должность | Председатель совета родителей |
| Место нахождения | 623428, Свердловская область, Каменск-Уральский городской округ, проспект Победы, дом 69 |
| Официальный сайт | https://dou33.obrku.ru |
| Электронная почта | Адрес электронной почты защищен от спам-ботов. Для просмотра адреса в вашем браузере должен быть включен Javascript. |
| Дополнительная информация |
В состав Совета родителей ДОУ входят председатели родительских комитетов (советов) групп по 1 человеку от каждой группы. Представители Совета избираются ежегодно на групповых родительских собраниях в начале учебного года. Количество членов Совета родителей определяется общим собранием родителей (законных представителей). Совет родителей выбирает из своего состава председателя и секретаря сроком на 1 учебный год. Совет работает по разработанному и принятому им регламенту работы и плану, соответствующим плану работы дошкольного образовательного учреждения. План работы согласовывается с заведующим и утверждается на заседании Совета родителей. Председатель организует деятельность Совета родителей ДОУ:
Совет родителей созывается его Председателем по мере необходимости, но не реже одного раза в квартал.Заседание Совета родителей дошкольного образовательного учреждения правомочно, если на нем присутствовало не менее половины членов его состава. Решения Совета принимаются тайным или открытым голосованием большинством голосов присутствующих на нем членов. Форму голосования Совет родителей устанавливает в каждом конкретном случае. Совет родителей подотчётен Общему родительскому собранию, перед которым периодически (не реже двух раз в год) отчитывается о выполнении ранее принятых решений. Члены Совета родителей работают на общественных началах, каждый член Совета имеет определённые обязанности и осуществляет свои функции только на безвозмездной основе. |
